工伤职工一次性工伤医疗补助金申领指南
1办理条件
符合下列条件的,用人单位可向参保的社会保险经办机构为职工申请支付一次性工伤医疗补助金:
a) 用人单位和职工均已按规定参加工伤保险;
b) 工伤保险行政部门已对职工进行工伤认定;
c) 职工经劳动能力鉴定委员会鉴定为五级至十级伤残;
d) 职工与用人单位解除或终止劳动关系。
2办理渠道
窗口办理。
3办理时限
22个工作日。
4收费标准
不收费。
5申请材料
用人单位到参保的社会保险经办机构为职工申领一次性工伤医疗补助金,填写《云南省工伤保险待遇申领表》(见附录A表A.1),并提供以下材料:
a) 用人单位与工伤职工解除或终止劳动关系合同证明;
b) 工伤职工的银行卡(原则上为二代金融社保卡)账号。
6结果送达
6.1申请材料不齐全的或者社会保险信息系统中没有工伤职工相关信息的,反馈《不予受理回执》。
6.2 不符合申领条件或者《云南省工伤保险待遇申领表》信息与社会保险业务信息系统不一致的,反馈《不予办理回执》。
核定并发放一次性医疗补助金的,反馈《云南省工伤职工待遇核定明细表》。
7联系电话
0871-67475702
8办理地点和办理机构
呈贡区呈祥街515号政务服务中心B区人社窗口
9相关法律法规、政策文件
本文件涉及到的法律法规、政策文件包括:
a) 《中华人民共和国社会保险法》(中华人民共和国主席令第三十五号)
b) 《工伤保险条例》(中华人民共和国国务院令第586号)
c) 《人力资源社会保障部关于印发<工伤保险经办规程>的通知》(人社部发〔2012〕11号)
d) 《云南省人民政府关于印发云南省实施<工伤保险条例>办法的通知》(云政发〔2011〕255号)
附录A
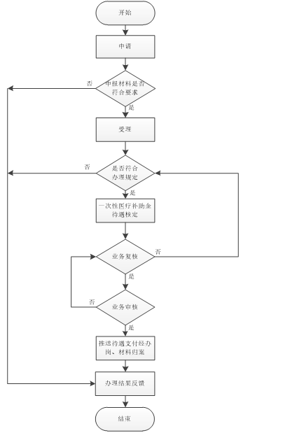
一次性医疗补助金待遇申领流程图

云南省工伤保险待遇申领表.docx