工伤医疗(康复)费用申报指南
1办理条件
符合以下条件的,参保单位或者工伤职工可向参保的社会保险经办机构申请工伤医疗(康复)费用(包括住院伙食补助费、统筹地区外就医交通、食宿费)报销:
a) 职工已认定为工伤或视同为工伤;
b) 工伤医疗(康复)费用、住院伙食补助费、统筹地区外就医交通、食宿费等由工伤职工个人或者单位已垫付。
2办理渠道
窗口办理。
3办理时限
22个工作日。
4收费标准
不收费。
5申请材料
申请人填写《云南省工伤保险医疗/辅助器具配置待遇申领表》(见附录A表A.1),并提供以下材料:
a) 《工伤认定决定书》;
b) 报销医疗费用的,需提供住院发票,以及相应的住院费用汇总明细清单、门诊处方、治疗单、检查报告、化验报告、出院证或出院小结等单据;
c) 报销统筹地区外就医交通、食宿费的,需提供交通费、住宿费发票。
d) 涉及第三人侵权的,需提供第三人侵权赔偿协议书(包括第三人保险公司赔偿明细)或人民法院民事判决书或人民法院民事调解书或人民法院强制执行书。
6结果送达
符合报销条件、给付相关待遇的,反馈《云南省工伤保险医疗(康复)待遇核定明细表》;
不符合报销条件的,反馈《不予办理回执》。
7联系电话
0871-67475702
8办理地点和办理机构
呈贡区呈祥街515号政务服务中心B区人社窗口
9相关法律法规、政策文件
本文涉及的法律、法规、政策文件包括:
a) 《中华人民共和国社会保险法》(中华人民共和国主席令第25号)
b) 《工伤保险条例》(中华人民共和国国务院令第586号)
c) 《工伤保险经办规程》(人社部发[2012]11号)
d) 《云南省人民政府关于印发云南省实施〈工伤保险条例〉办法的通知》(云政发[2011]255号)
附录A
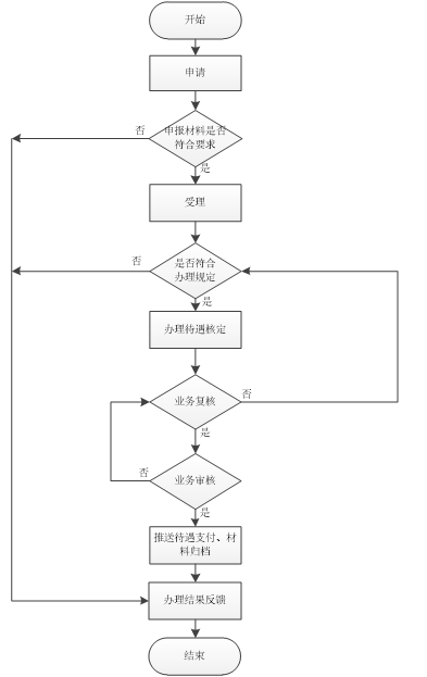
工伤医疗(康复)费用申报流程图

云南省工伤保险医疗 辅助器具配置待遇申领表.docx