武汉体校方舱医院表彰优秀医护工作者 云南医疗队102人上榜
2020-03-09 18:46:57
来源:云南网

云南省第四批支援湖北医疗队队员进驻前,在汉阳方舱医院前互相加油鼓劲。
3月9日,一批“最美逆行者”被表彰为武汉体校方舱医院优秀医护工作者,云南医护人员位列其中。他们积极响应号召,舍小家顾大家,主动请缨,勇敢逆行,用实际行动诠释了敬佑生命、救死扶伤、大爱无疆的职业精神和高尚品格。
2月23日,云南省第四批援助湖北医疗队进驻武汉市汉阳体校方舱医院,负责一层的168张床位。3月8日,汉阳方舱医院最后1例确诊病例转院,标志着该院确诊病例、疑似病例“清零”,进入“休舱”模式。(云报集团 全媒体记者熊强 陈飞)

云南省妇幼队员送走最后一名康复患者 供图
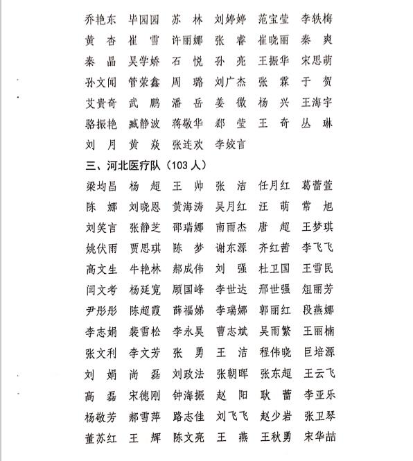
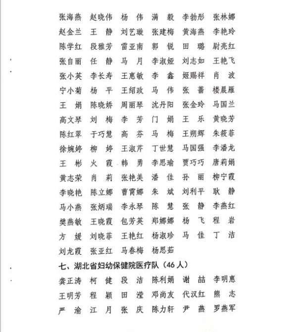
附:武汉体校方舱医院优秀医护工作者名单





