辅警背老人乘地铁太暖心 家属送来感谢信
2019-05-08 16:13:05
来源:昆明信息港
昆明信息港讯 记者合宇聪 4月30日晚7时许,一名老人带着小朋友在东风广场站乘坐地铁,在下楼梯时遇到了困难,老人腿脚不便只能在小朋友的搀扶下慢慢在楼梯上挪动,此时却发生了暖心的一幕。
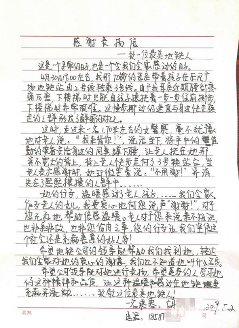
此时正好巡逻路过的昆明市公安局城市轨道交通分局特勤大队辅警莫晓莉见状,立刻上前帮忙,将老人背起送至站台等侯列车。事后,老人的女儿胡女士非常感动,亲笔写了感谢信送至东风广场站警务室以表感谢。胡女士在信中称,这名女“警察”的行为温暖感动了她们一家人,希望通过单位领导找到这位女“警察”,对她表示衷心的感谢。
莫晓莉表示,当时老人在换乘的楼梯上艰难地向下挪动,行动十分不便,看到此情此景,都没有多想,立刻上前帮忙。
轨道分局相关负责人表示,轨道警方全体警务人员牢固树立全心全意为人民服务的宗旨意识,始终把人民装在心里,将服务落到实处,用实际行动增强人民群众获得感幸福感安全感。据悉,2018年以来,轨道警方共帮助群众近2000名。



